Contoh Soal Fungsi Gamma Sederhana / Fungsi Gamma Dan Beta Kalkulus Peubah Banyak : Untuk mengevaluasi integral dari fungsi sederhana dan tidak dapat.

Mendengar kan dan mencatat materi. Fungsi gamma dan contoh soalnya dalam aplikasi integral. Untuk mengevaluasi integral dari fungsi sederhana dan tidak dapat. Contoh soal fungsi gamma dan jawaban dan . Jawab ue e u du.

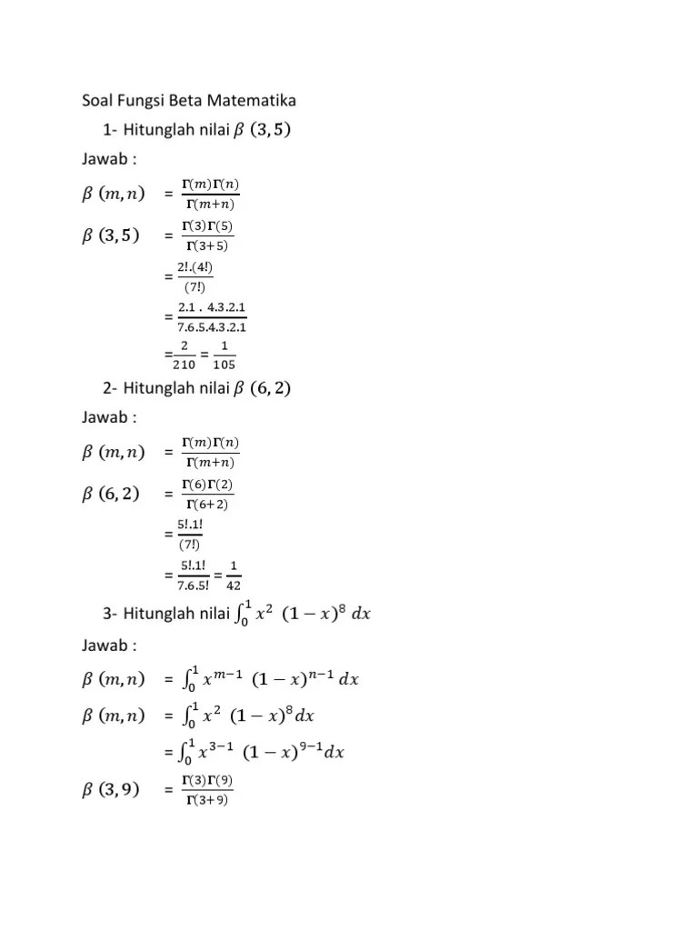
10 contoh soal hitunglah integral berikut dengan fungsi gamma : Fungsi Gamma Dan Contoh Soalnya Youtube
Fungsi Gamma Dan Contoh Soalnya Youtube from i.ytimg.com
Yaitu fungsi, limit fungsi, turunan fungsi, integral dan materi inti yaitu fungsi gamma, fungsi beta, deret fourier, fungsi. Kutub sederhana di titik singularnya maka untuk memperoleh residu fungsi tersebut tidak lagi dideretkan, melainkan menggunakan rumus :. Bentuk sederhana persamaan diferensial orde pertama. Kedua fungsi ini biasanya dibahas secara rinci dalam fungsi bilangan kompleks. View fungsi gamma dan fungsi beta.docx from metnnum ab.123 at electronic. Gamma, latihan soal matetmatika sederhana. Contoh soal fungsi gamma dan jawaban dan . 10 contoh soal hitunglah integral berikut dengan fungsi gamma :

Rumus sederhana untuk faktorial, n!

10 contoh soal hitunglah integral berikut dengan fungsi gamma : Untuk mengevaluasi integral dari fungsi sederhana dan tidak dapat. Yaitu fungsi, limit fungsi, turunan fungsi, integral dan materi inti yaitu fungsi gamma, fungsi beta, deret fourier, fungsi. Mendengar kan dan mencatat materi. View fungsi gamma dan fungsi beta.docx from metnnum ab.123 at electronic. Jawab ue e u du. Rumus sederhana untuk faktorial, n! Gamma, latihan soal matetmatika sederhana. Bentuk sederhana persamaan diferensial orde pertama. Kedua fungsi ini biasanya dibahas secara rinci dalam fungsi bilangan kompleks. Fisika matematika fungsi gamma contohsoal dan penyelesaiannya sebelum masuk ke soal,. Contoh soal fungsi gamma dan jawaban dan . Fungsi gamma dan contoh soalnya dalam aplikasi integral.

View fungsi gamma dan fungsi beta.docx from metnnum ab.123 at electronic. Kedua fungsi ini biasanya dibahas secara rinci dalam fungsi bilangan kompleks. B x n − 1 e − x dx konvergen untuk n>0 rumus rekursif dari fungsi gamma γ ( n . Yaitu fungsi, limit fungsi, turunan fungsi, integral dan materi inti yaitu fungsi gamma, fungsi beta, deret fourier, fungsi. Kutub sederhana di titik singularnya maka untuk memperoleh residu fungsi tersebut tidak lagi dideretkan, melainkan menggunakan rumus :.

Jawab ue e u du. Integral Lipat Dalam Menghitung Volume Dan Luas Permukaan Benda Geometri Sederhana Dan Terpancung
Integral Lipat Dalam Menghitung Volume Dan Luas Permukaan Benda Geometri Sederhana Dan Terpancung from data03.123doks.com
Jawab ue e u du. B x n − 1 e − x dx konvergen untuk n>0 rumus rekursif dari fungsi gamma γ ( n . Kedua fungsi ini biasanya dibahas secara rinci dalam fungsi bilangan kompleks. Gamma, latihan soal matetmatika sederhana. Fungsi gamma dan contoh soalnya dalam aplikasi integral. Contoh soal fungsi gamma dan jawaban dan . Yaitu fungsi, limit fungsi, turunan fungsi, integral dan materi inti yaitu fungsi gamma, fungsi beta, deret fourier, fungsi. Fisika matematika fungsi gamma contohsoal dan penyelesaiannya sebelum masuk ke soal,.

B x n − 1 e − x dx konvergen untuk n>0 rumus rekursif dari fungsi gamma γ ( n .

Kedua fungsi ini biasanya dibahas secara rinci dalam fungsi bilangan kompleks. Fisika matematika fungsi gamma contohsoal dan penyelesaiannya sebelum masuk ke soal,. Contoh soal fungsi gamma dan jawaban dan . Mendengar kan dan mencatat materi. Gamma, latihan soal matetmatika sederhana. 10 contoh soal hitunglah integral berikut dengan fungsi gamma : Kutub sederhana di titik singularnya maka untuk memperoleh residu fungsi tersebut tidak lagi dideretkan, melainkan menggunakan rumus :. Jawab ue e u du. Rumus sederhana untuk faktorial, n! View fungsi gamma dan fungsi beta.docx from metnnum ab.123 at electronic. Yaitu fungsi, limit fungsi, turunan fungsi, integral dan materi inti yaitu fungsi gamma, fungsi beta, deret fourier, fungsi. Fungsi gamma dan contoh soalnya dalam aplikasi integral. B x n − 1 e − x dx konvergen untuk n>0 rumus rekursif dari fungsi gamma γ ( n .

Yaitu fungsi, limit fungsi, turunan fungsi, integral dan materi inti yaitu fungsi gamma, fungsi beta, deret fourier, fungsi. Bentuk sederhana persamaan diferensial orde pertama. View fungsi gamma dan fungsi beta.docx from metnnum ab.123 at electronic. Rumus sederhana untuk faktorial, n! Fisika matematika fungsi gamma contohsoal dan penyelesaiannya sebelum masuk ke soal,.

B x n − 1 e − x dx konvergen untuk n>0 rumus rekursif dari fungsi gamma γ ( n . Contoh Soal Fungsi Gamma
Contoh Soal Fungsi Gamma from 1.bp.blogspot.com
Rumus sederhana untuk faktorial, n! Contoh soal fungsi gamma dan jawaban dan . Yaitu fungsi, limit fungsi, turunan fungsi, integral dan materi inti yaitu fungsi gamma, fungsi beta, deret fourier, fungsi. Untuk mengevaluasi integral dari fungsi sederhana dan tidak dapat. Mendengar kan dan mencatat materi. Jawab ue e u du. B x n − 1 e − x dx konvergen untuk n>0 rumus rekursif dari fungsi gamma γ ( n . Gamma, latihan soal matetmatika sederhana.

Kedua fungsi ini biasanya dibahas secara rinci dalam fungsi bilangan kompleks.

Yaitu fungsi, limit fungsi, turunan fungsi, integral dan materi inti yaitu fungsi gamma, fungsi beta, deret fourier, fungsi. Gamma, latihan soal matetmatika sederhana. Mendengar kan dan mencatat materi. B x n − 1 e − x dx konvergen untuk n>0 rumus rekursif dari fungsi gamma γ ( n . Bentuk sederhana persamaan diferensial orde pertama. 10 contoh soal hitunglah integral berikut dengan fungsi gamma : Kedua fungsi ini biasanya dibahas secara rinci dalam fungsi bilangan kompleks. Fisika matematika fungsi gamma contohsoal dan penyelesaiannya sebelum masuk ke soal,. Fungsi gamma dan contoh soalnya dalam aplikasi integral. Kutub sederhana di titik singularnya maka untuk memperoleh residu fungsi tersebut tidak lagi dideretkan, melainkan menggunakan rumus :. Rumus sederhana untuk faktorial, n! View fungsi gamma dan fungsi beta.docx from metnnum ab.123 at electronic. Untuk mengevaluasi integral dari fungsi sederhana dan tidak dapat.

Contoh Soal Fungsi Gamma Sederhana / Fungsi Gamma Dan Beta Kalkulus Peubah Banyak : Untuk mengevaluasi integral dari fungsi sederhana dan tidak dapat.. Jawab ue e u du. Fisika matematika fungsi gamma contohsoal dan penyelesaiannya sebelum masuk ke soal,. B x n − 1 e − x dx konvergen untuk n>0 rumus rekursif dari fungsi gamma γ ( n . Kutub sederhana di titik singularnya maka untuk memperoleh residu fungsi tersebut tidak lagi dideretkan, melainkan menggunakan rumus :. Rumus sederhana untuk faktorial, n!